EMD (Empricial mode decomposition): 경험적 모드 분해법
1. 정의
- 경험적 모드 분해법, EMD는 시계열 신호를 분석하기 위한 것으로, 파라미터 값을 정의하지 않고, 원 신호 (raw signal)에 기반하여 분해되는 방법이다.
- 이는 원 신호 (raw signal)의 비선형적 (non-linear), 비정형적인 (non-stationary) 특징이 보존된다 (원 신호가 선형인지, 비선형인지 고려할 필요가 없음)
- EMD 알고리즘을 이용하여 원 신호 (raw signal)이 n개의 IMF (Intrinsic mode functions, 고유진동함수)들과 residue로 분해된다.
2. 조건
-IMF를 분해할 때, IMF는 2가지의 stopping criteria를 만족해야 한다 (The IMFs should meet two stopping crietria)
(1) Upper envelop과 lower envelop의 평균이 시계열 도메인의 어느 구간에서든 0이어야 한다 (The mean values of the local maxima and the local minima envelopes should be zero).
(2) 부호가 변경되는 점의 개수와 극값의 개수가 같거나 혹은 하나의 차이가 난다 (The total number of extreme values and zero crossings in the entire data must be the same or must only differ by one).
3. Shifting process
- EMD 알고리즘을 이용하여 신호를 분해하는 과정을 Shifting process라고 하며, IMF들은 high frequency를 포함한 신호들로부터 추출되며, 즉, IMF 1, IMF 2, ..., IMF(n-1), IMF(n) 순서대로 high->low frequency로 분해된다.
- 원 신호 (raw signal)인 x(t) 의 최대, 최소값을 찾아 Spline interpolation으로 upper envleope인 upper_envelop(t)과, lower envelop인 low_envelop(t)을 만든다.
- upper_envelop(t)에서 low_envelop(t) 을 분리하여 (빼서) 최대, 최소의 envelope의 평균선인 m(t)를 구한다.
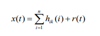
- x(t)에서 m(t)를 뺀 신호인 hn(t)가 각 IMFn가 되며, 이 과정을 "2. 조건"에 나와 있는 stopping criteria에 만족할 때까지 반복하여 n개의 IMF를 분해한다.
- 최종적으로, 분해된 n개의 hn(t)를 합한 것을 원 신호 x(t)에서 분리하여 residue (추세)를 분리해낼 수 있다.


'Signal Processing & Machine Learning' 카테고리의 다른 글
| [Clustering] (5-1) SOM: Self-Organizing Map, 자기조직화 맵 (2) | 2018.12.30 |
|---|---|
| [모델 평가] Confusion matrix (TP, TN, FP, FN) 및 단일/다중 클래스 평가 방법 (1) (3) | 2018.11.15 |